In questa pagina esamineremo come ricavare lo spettro di un segnale periodico digitalizzato. Facciamo le seguenti ipotesi
In queste condizioni periodo del segnale ed intervallo di campionamento coincidono, eventualmente a meno di multipli.
Il segnale campionato è composto da N valori ed è memorizzato in un vettore che indicheremo con x (minuscolo), essendo x(n) il valore del campione ennesimo. Tali campioni si estendono esattamente su un periodo del segnale (o al limite su un numero intero di periodi del segnale).
Per esempio consideriamo il seguente segnale, composto da 8 campioni (e arbitrariamente reso periodico, con periodo pari a 8 bin)
Tale segnale, in base al teorema delle serie di Fourier, è scomponibile nella somma di:
La sinusoide con frequenza più alta è, in base al teorema del campionamento, quella con frequenza pari alla metà della frequenza di campionamento, cioè con periodo pari a 2 campioni. Complessivamente avremo calcolato N/2 valori per l'ampiezza (considerando anche il valor medio) ed altrettanti per la fase.
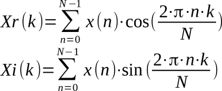
In realtà si preferisce pensare a ciascuna sinusoide con fase come somma di una sinusoide e di una cosinusoide, ciascuna con opportuna ampiezza ( e fase nulla). Questo perché gli integrali definiti qui descritti danno un metodo di calcolo:

In genere i numeri ottenuti dalla prima colonna sono memorizzati in un vettore Xr(n), vettore con la parte reale. I numeri ottenuti dai grafici di destra sono memorizzati in Xi(n), vettore con la parte immaginaria.


Data di creazione di questa pagina: 1 aprile 2017
Ultima modifica:
Appunti scolastici - Versione 0.1032 - Maggio 2025
Copyright 2012-2025, Vincenzo Villa (https://www.vincenzov.net)
Creative Commons | Attribution-ShareAlike 4.0 International (CC BY-SA 4.0)